Página web dedicada, sobre todo, a los logaritmos (nivel básico): definimos los logaritmos en distintas bases y proporcionamos y demostramos sus propiedades (incluyendo el cambio de base). Una vez entendido lo anterior, explicamos las ecuaciones logarítmicas y los sistemas de ecuaciones logarítmicas. En cada una de las secciones, resolvemos problemas muy detalladamente.

Definimos el logaritmo y calculamos logaritmos de distintas bases a partir de su definición. Resolveremos algunas ecuaciones logarítmicas y algunos problemas teóricos.

Ejercicios resueltos de aplicación de las propiedades de los logaritmos.

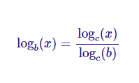
Explicación, ejemplos y ejercicios del cambio de base de los logaritmos.

Resolvemos 26 ecuaciones logaritmicas. Tendremos que aplicar las propiedades de los logaritmos para simplificar las ecuaciones.

Resolución de 6 sistemas de ecuaciones logaritmicas. Aplicaremos las propiedades de los logaritmos.

Estudiamos la continuidad y la derivabilidad de la función logaritmo y calculamos la inversa, la derivada y la integral (indefinida, definida e impropia).

Ejercicios interactivos de distintos temas.

Distintas calculadoras online para calcular porcentajes.

Calculadora online para calcular la hipotenusa o un cateto de un triángulo rectángulo (viendo las operaciones). También calcula el perímetro, el área y los ángulos no rectos.

83 ecuaciones resueltas y 75 problemas de ecuaciones

Fracciones, potencias, ecuaciones de primer y segundo grado, problemas de sistemas, teorema de Pitagoras, ecuaciones exponenciales y progresiones.

Teoria, ejemplos, ejercicios y problemas resueltos paso a paso de matematicas para secundaria, bachillerato y universidad.
logaritmo.info ©